今天是:2015年3月4日 星期三 欢迎光临73882必赢欢迎光临!
研究生教育
当前位置: 首页 >> 研究生教育 >> 正文
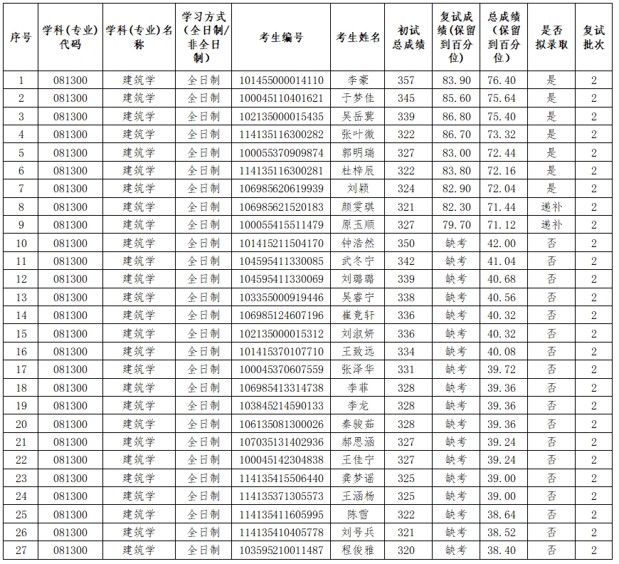
2025年建筑学(081300)第二批次拟录取名单公示(02建筑历史与理论方向)
来源: 发布时间:2025-04-16 17:16:33 阅览次数:

2025年建筑学(081300)第二批次拟录取名单(02建筑历史与理论方向)公示如下:

                                                                                                                                                                              73882必赢欢迎光临

                                                                                                                                                                              2025年4月16日


打印】 【关闭